Transcendental Numbers
Transcendental Number
A Transcendental Number is any number that's not an Algebraic Number
Examples of transcendental numbers include π (Pi) and e (Euler's number).
Algebraic Number
What then is an Algebraic Number?
Put simply, when we have a polynomial equation like (for example)
2x2 − 4x + 3 = 0
whose coefficients (the numbers 2, −4 and 3) are rational (whole numbers or simple fractions) ...
... then x is Algebraic.
(Read Algebraic Numbers for full details).
We can imagine all kinds of polynomials:
- x − 1 = 0 has x = 1,
- x + 1 = 0 has x = −1,
- 2x − 1 = 0 has x = ½,
- x2 − 2 = 0 has x = √2,
- and so on
All integers, all rational numbers, some irrational numbers (such as √2) are Algebraic.
In fact it is hard to think of a number that's not Algebraic.
But they do exist! And lots of them!

They transcend the power of algebraic methods.
- Leonhard Euler
Liouville Numbers
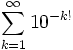
Back in 1844, Joseph Liouville came up with this number:
![]() |
= 0.11000100000000000000000100…… |
| (the digit is 1 if it is k! places after the decimal, and 0 otherwise.) |
It is a very interesting number because:
- it is irrational, and
- it is not the root of any polynomial equation and so is not algebraic
In fact, Joseph Liouville had successfully made the first provable Transcendental Number.
That number is now known as the Liouville Constant. and is in the class of Liouville Numbers.
More Transcendental Numbers
It took until 1873 for the first "non-constructed" number to be proved as transcendental when Charles Hermite proved that e (Euler's number) is transcendental.
Then in 1882, Ferdinand von Lindemann proved that π (pi) is transcendental.
In fact, proving that a number is Transcendental is quite difficult, even though they are known to be very common ...
Transcendental Numbers are Common

Most real numbers are transcendental. The argument for this is:
- The Algebraic numbers are countable. This means they can be placed in a one-to-one correspondence with the whole numbers that are also countable: they can be organized into a single, infinite list.",
- But the Real numbers are Uncountable
- Because the Reals are uncountable and the Algebraics are only countable, the Transcendentals must account for nearly 100% of all Real numbers
The same argument applies to complex numbers.
Transcendental Functions
In a similar way that a transcendental number is "not algebraic", a transcendental function is also "not algebraic".
The "Big 5" Operations
An algebraic function is a function that can be built using only the 5 basic operations of algebra:
- Addition (+)
- Subtraction (−)
- Multiplication (×)
- Division (÷)
- Roots (like √x)
Example: y = √(x2 + 1)x − 5 is algebraic because it only uses the "Big 5" operations.
A transcendental function is any function that "transcends" (goes beyond) these 5 operations. It simply can't be written using only those basic tools.
Definition: a function is algebraic if we can move everything to one side to create a nonzero polynomial equation that equals zero:
P(x, y) = 0
where the x and y terms have rational coefficients. If no such polynomial exists, the function is transcendental.
P(x, y) = 0 means "a function P using x and y that equals zero" such as
Example: y = √x
We can square both sides to get y2 = x, which is the same as y2 − x = 0.
This fits the P(x, y) = 0 rule, so y = √x is algebraic
Example: y = sin(x)
There's no simple polynomial equation you can ever write that links x and y to equal zero. The function "transcends" the power of polynomials.
y = sin(x) is transcendental.
But we can create an infinite series for sin(x), see Taylor Series
Q: Why didn't the mathematicians use their teeth?
A: They wanted to transcend dental functions.
Footnote: More about Liouville NumbersA Liouville Number is a special type of transcendental number which can be very closely approximated by rational numbers. More formally a Liouville Number is a real number x, with the property that, for any positive integer n, there exist integers p and q (with q>1) such that: 0 < |x − pq| < 1qn
Now we know that x is irrational, so there will always be a difference between x and any p/q: so we get the "0<" part. But the second inequality shows us how small the difference is. In fact the inequality is saying "the number can be approximated infinitely close, but never quite getting there". In fact Liouville managed to show that if a number has a rapidly converging series of rational approximations then it is transcendental. Another interesting property is that for any positive integer n, there exist an infinite number of pairs of integers (p,q) obeying the above inequality. |
